
調節閥知識
閥門首頁 > 閥門知識 > 調節閥知識 > 調節閥的節流原理
調節閥是一個局部阻力可以變化的節流元件。
調節閥的流通能力為

式中,Q為調節閥接管內的流體流量,m3/h;p1、p2為分別為調節閥前后的壓力,
Pa;P為流體密度,kg/m3。
對于某一種類規格的調節閥,其允許流通能力隨開度而變化,在某一開度下,流通能力
為定值,通過的流量取決于閥前后的作用壓差。
調節閥的流通能力與阻抗S關系為

調節閥的流量特性
(1)調節閥的流量特性
指流體介質流過調節閥的相對流量與調節閥的相對開度之間的特定關系
(2)理想流量特性(固有流量特性)
當調節閥前后壓差固定不變時,所得到的流量特性。典型的4種理想流量特性類型:直線、等百分比(對數)、快開和拋物線流量特性。需注意調節閥的理想流量特性取決于閥芯的形狀。
(3)調節閥的工作流量特性
所謂調節閥的工作流量特性是指調節閥在前后壓差隨負荷變化的工作條件下,調節閥的相對開度與相對流量之間的關系。
直通調節閥有串聯管道時的工作流量特性。分析的條件是:調節閥與其串聯管道組成的系統兩端總壓差一定。
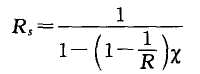
(4)直通調節閥的實際可調比
調節閥在實際使用中,由于調節閥上壓差隨著串聯管道阻力改變或打開調節閥旁路(并聯管道),使調節閥的可調比改變,這時調節閥實際所能控制的最大流量與最小流量的比值稱為實際可調比。
管道串聯時,實際可調比為

管道并聯時,實際可調比為

式中,SV稱為閥權度或閥門能力(表示調節閥全開時間前后壓差與系統總壓差的比值),R=Qmax/Qmin,其中Qmax、Qmin分別為管道的最大流量和最小流量,x=Qlmax/Qmax,其中Q1max、Qmax分別為閥門全開時流過閥的流星和管道的最大流量。